TargetSeq One® v3.0 delivers stable performance in rapid hybridization.
TargetSeq One® Hyb & Wash Kit v3.0 supports flexible rapid hybridization protocols, with hybridization time reducible to less than 2 hours and manual operation time cut down to 2 hours, which significantly shortens the overall experimental cycle.

Figure 2. Schematic diagram of time comparison between rapid hybridization and overnight hybridization.
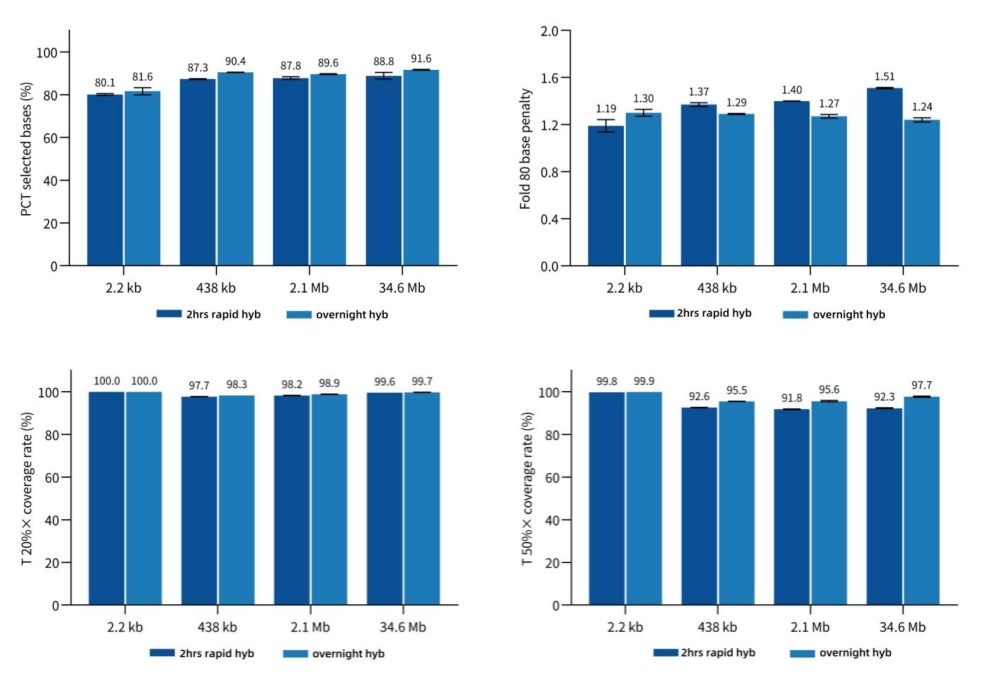
TargetSeq One® Hyb & Wash Kit v3.0 delivers excellent performance and stable performance metrics in rapid hybridization for panels of different sizes.

Figure 3. Data performance of TargetSeq One® Hyb & Wash Kit v3.0 across different hybridization durations. Capture experiments were performed using panels of 2.2 kb (MRD Panel with 32 loci), 438 kb (Solid Tumor Mid Panel), 2.1 Mb (Pan-Cancer Panel V2), and 34.6 Mb (AIExome® Human Exome Panel V5). Overnight hybridization (30μL hybridization system) and 2-hour rapid hybridization (15μL hybridization system) were conducted respectively, followed by PE150 sequencing on the NovaSeq 6000 platform.